黄兴涛 “美学”译名再考:花之安与西方美学概念在华早期传播
发布:2024-12-04 来源:本文原刊于《文艺研究》2024年第10期,经作者授权转载。
摘 要
笔者之前的文章认为花之安在1875年《教化议》初版时创用“美学”一词,系有失校验之判,诚属有误。十余年来,随着海外刊本的发现,已有学者多次指出。但进而否定花之安乃中文世界“美学”一词和概念的创用者,亦是错误之论。熟悉西方美学的花之安,1897年在《泰西学校·教化议合刻》中对“美学”一词的使用确实无误,两字连用并不存在标点问题,它既是花之安继“入妙之法”和“华美之学”之后,寻求准确简洁的aesthetics/Ästhetik对译的新尝试,亦出于对接两书中有关美学学科内容的应急之举,还可能与他不满日本传入的“美术”一词在字面上偏重技艺而轻视学理有关。“美学”指称的乃是基于“美的艺术”的艺术审美论,属于西方美学主流传统的东方再现,当然具有美学学科意义。
二十四年前,针对国内学界对王国维之前西方美学在华的早期传播尚不了解的情况,笔者撰有《“美学”一词及西方美学在中国的最早传播——近代中国新名词源流漫考之三》(以下简称《“美学”传播》,《文史知识》2000年第1期)一文,指出早在王国维之前的晚清中国,西方美学知识和概念就已有过值得一提的传播,除了花之安的努力,颜永京在《心灵学》一书中对“艳丽之学”长达七千字的系统介绍也值得一提。笔者特别强调,最初在中国流播的美学概念和术语,并不直接来自纯而又纯的美学学科自身的专门著作或译述,而是译自一般教育学、心理学等书籍,并在学界较早对此做出资料爬疏和具体揭示。几年后,笔者又对西方古典美学观念在明清之际的传入情况进行首次勾勒,发表《明末清初传教士对西方美学观念的早期传播》等文[1]。这些研究有幸得到学界特别是中国美学史界同仁的关注和重视,不过,其中仍存在一些不足乃至错误,有的多年前即已得到同仁指正,有的至今仍须重审和再认识。最近,李庆本教授又对此问题提出新看法,他不仅否认花之安曾以中文创译西方“美学”概念,在中国最早使用“美学”一词,而且认为即便花之安使用过“美学”一词,该词也并不具有美学学科意义[2]。笔者对此看法不予认同,特作此文表述己见,以供学界同仁研讨。
一、花之安美学思想的来源及其对“美学”一词的创用
德国近代来华人士花之安(Ernst Faber,1839—1899)是一位著名的传教士和汉学家。他1858年考入德国巴门神学院(Seminary at Barmen),毕业后短暂从事过地质学工作,1864年底以礼贤会教士的身份来华传教。1880年以前,他一直在广东传教,1885年到上海后,他放弃了传教实务,专门从事文字著述,在西学和基督教的传播以及西方汉学研究领域均产生过重要影响。在笔者之前,学界对花之安多有研究,但尚无人将其与西方美学在华早期传播联系起来。现在看来,尽管受到新的挑战,但认定花之安在近代中文世界最早传播了西方“美学”概念,是中文世界现代“美学”学科名词的最早创用者,仍属于靠得住的结论。
正如笔者曾指出的,1873年,花之安以中文著《德国学校论略》(后又名“泰西学校(论略)”或“西国学校”)一书,较为全面地说明了德国的初等、中等和高等教育制度,其中曾论及德国太学院(即大学)的“经学”“法学”“智学”“医学”四类课程。在谈到“智学”门所开课程时,他提到了西方的美学学科。花之安将“智学”具体分为八门课:“一课学话,二课性理学,三课灵魂说,四课格物学,五课上帝妙谛,六课行为,七课如何入妙之法,八课智学名家。”若对应后来的译法,这八门课便分别是语言学、哲学、心理学、物理学、神学、伦理学、美学和科学史。李庆本也同意,此处的“如何入妙之法”确属美学课程之译名,并无疑议。不仅如此,花之安在此书中还简略地解释了讲求“如何入妙之法”或“论美形”这一课程的具体内容:“即释美之所在:一论山海之美,乃统飞潜动物而言;二论各国宫室之美,何法鼎建;三论雕琢之美;四论绘事之美;五论乐奏之美;六论词赋之美;七论曲文之美,此非俗院本也,乃指文韵和悠、令人心惬神怡之谓。”[3]就我所见,这的确是晚清中国正式介绍西方美学的最早文字。此处谈及“山海之美”,超出了艺术审美的范围,可见花之安所概述的正是关于“美”的学问,它以自然之美和艺术之美为研究对象,讲求美的种类、形态和方法,被表述为“如何入妙之法”,或可省称为“入妙之法”。不过,“山海之美”(即自然之美)虽被提及,所占比重却只有七分之一,另外七分之六的课程内容均为艺术之美,这一倾向正是18—19世纪德国古典美学思潮在美学界占据绝对强势地位的体现。
花之安:《(大)德国学校论略》,清同治十二年(1873)羊城小书会真宝堂刻本
或许有学者会怀疑花之安对西方美学的认知水准和持守态度,笔者也曾对此有过疑虑,但通过阅读花之安的相关西文著作,这一疑虑得到根本消除。花之安出生和接受大学教育的德国是西方近代美学的发源地,他不仅对德语的Ästhetik和英语的aesthetics概念及相关美学思潮相当熟悉,还热衷从审美角度利用音乐、绘画、雕塑、诗歌、建筑等艺术手段从事在华传教工作。1873年,他曾以德文出版《中国宗教科学导论》一书,1879年又以英文在香港和上海出版此书。该书的第八章题为“宗教与艺术”,其中反复引用约翰·罗斯金(John Ruskin)的艺术批评语录,来阐述何以宗教离不开审美艺术,而真正美的艺术总能提升人的精神和道德境界[4]。罗斯金是维多利亚时代艺术趣味的代言人,也是欧洲工艺美术运动的理论奠基人和精神领袖。他批判资本主义对人性的摧残,认为工业化生产和劳动分工压抑乃至剥夺了人对美的艺术创造,美的艺术应当承担起美育和道德教育责任。

Ernst Faber, Introduction to the Science of Chinese Religion: A Critique of Max Mueller and Other Authors, Hong Kong: Lane, Crawford & Co.; Shanghai: Kelly & Walsh Ltd., Presbyterian Mission Press, 1879
花之安深受罗斯金影响,从他的论述中,我们亦能看到他对西方美学的熟悉和了解。当谈及古希腊悲剧美及其信仰功效时,他表示:
这里,我无法进入审美哲学(philosophy of aesthetics)来大加谈论……只想在此尽可能简明地指出美的艺术(fine arts)和宗教之关系。我们一再提醒自己,不能将宗教和美的艺术或审美情感(aesthetic feeling)混淆起来。艺术源自我们自身的美感和想象力。[5]
他认为“最完美的艺术(形态)是自然,不过是理想化的、美化的自然”,而“艺术家们必须从其所处时代的公共信仰中提取宗教观念,并根据各自的能力赋予其艺术的形式”,任何能创造崇高(美)的艺术,都是“宗教或神圣的艺术”,“美的艺术构成了连接精神美和感官美的金链。几乎在所有民族里,我们都能找到感官艺术,其上有时会盖有一块宗教遮羞布,有时则没有。一旦宗教产生自我意识,就会厌恶此类艺术并转向严格的道德”[6]。论及美和宗教的关系时,花之安甚至走至极端,强调“至上之美,存于上帝,存于上帝的每一件纯粹和完美的作品之中”[7],由此毫不含糊地表达了一个基督徒忠实的宗教艺术美学立场。在这一问题上,花之安不仅明显继承了欧洲中世纪美学的观点,且与深刻影响了德国美学创始人鲍姆加登思想的莱布尼兹在美学观上存在相似之处。
1875年,花之安以中文出版《教化议》一书,在《德国学校论略》的基础上继续解说西方教育。书中谈到“学问之训”时强调:“学问一道,宜分门别类,不能偏废(各种学问设有专院,《德国学校》已录)……救时之用者,在于六端,一经学,二文字,三格物,四历算,五地舆,六丹青、音乐。”[8]1897年,他将《德国学校论略》和《教化议》两书合为《泰西学校·教化议合刻》,由上海商务印书馆出版。在此合刻版中,他在“六丹青、音乐”后,特以括注的形式加入八字说明:“二者皆美学,故相属。”[9]在花之安看来,丹青和音乐能合为一类,是因为两者都属于探讨美的学问即“美学”。读者很容易将这里的“美学”一词同《德国学校论略》中的“如何入妙之法”联系起来。二十四年前,笔者撰写《“美学”传播》一文时,正因觉得此处“美学”一词的使用,是《德国学校论略》中涉及的美学课程之自然接续,却完全不曾料到1897年合刻本出版时,花之安本人竟增补了几个字,而1875年原版《教化议》中并无“二者皆美学,故相属”八字,造成“失校”之误(当时笔者四处查找,均未能查到此书原版本),从而无意中将花之安对“美学”一词的正式使用时间提前了。此乃笔者当年未能严谨查证所造成的遗误,在此,我要郑重地致歉并予以纠正。

《教化议》,羊城小书会真宝堂刻本
十余年来,收藏在海外的《教化议》日译本或原版本陆续被发现。早在2008年秋,聂长顺见到1880年东京明经堂版的大井镰吉训点本《教化议》,发现其中并无前述八字注释时,就怀疑此夹注乃花之安1897年所加。为此,他专门来信咨询我所见到的《教化议》版本问题,并将1880年日文本的复制件寄给我。我由此觉察到问题所在,遂建议他加紧将论文发表[10]。2016年,聂长顺又见到《教化议》1875年原版本,再次更明确地指出这一点[11]。在他之后,王确等亦曾著文,对此有所匡正和讨论[12]。同仁匡我之不逮,推进学术,实乃学界幸事。对这些学术工作,我深表感谢。
最近,李庆本根据他所见的欧藏原始版本,再次指出这一点,不仅如此,他还更进一步地对花之安1897年曾经使用“美学”一词提出质疑。根据他的观点,笔者前引的“二者皆美学,故相属”八字在标点上也是错误的,正确的标点应是“二者皆美,学故相属”;他还认定,即便标点无误,此处“美学”指的也是艺术,而“肯定不是现代学科意义上的‘美学’”,甚至声言,它与该词“在近现代意义上的使用毫不相干”[13]。由于此事涉及花之安与近代美学概念、中西日美学关系等问题,在此,我想就李庆本的观点,做一点针对性的辨析和回应。
首先,我要指出的是,花之安在1897年前后,的确使用了具有近代学科意义的中文“美学”一词。他一直寻求对以艺术美学为核心的aesthetics/Ästhetik一词进行准确的中文翻译,而这次,可以说正是他的一次新的尝试。笔者的标点并不存在错误。一则,就合刻本内《教化议》文本自身而言,花之安是在概括提到同“经学、文字、格致、历算(又称数学)、地舆”并列的“音乐、丹青”这第六门学问/学科时,才牵扯出“美学”一词的。在后文具体陈述这门学问的内容时,开头第一句就是:“音乐与丹青,二者本相属。”[14]对此,读者可能会有疑问:其他五门学科都是单列,何以此科要两者并列?换言之,为什么要说“音乐与丹青,二者本相属”?在刊行这一合印重刻本时,花之安想到要在前文概括提到六科时的“音乐、丹青”科后面,特以两行小字作注加以说明,“二者皆美学,故相属”——两者都是谈论和讲求艺术之“美”的学问,所以要将它们一并归之为“美学”,以释读者可能的疑惑。需要说明的是,这一时期,他还在另外一书里明确使用过“美学”一词(详见后文),可见他熟悉且愿意使用汉语中“×学”的构词法。二则,就合刻本内《教化议》和《德国学校论略》(即《泰西学校》)二书的关系而言,由于此前《德国学校论略》已谈到“如何入妙之法”或“课论美形”的美学,故《教化议》再次谈到这一学问时,须与前书相照应。这也是花之安此时对美学学科格外关切所致。若标点为“二者皆美,学故相属”,实不足以解释他为何要在《教化议》中特意作此说明之理由。
诚然,花之安在《教化议》的后文中说道:“音乐为声之美,丹青为色之美,论乐亦儒书所重……丹青为各艺之始基,可以定眼界,精手法,专心思,泰西各物精良,皆发源于画,故男女皆学。”[15]这里的“音乐为声之美,丹青为色之美”,同此前《德国学校论略》的“绘事之美”“乐奏之美”乃是一脉相承的说法。要将二者作为同一学科门类来定义,更准确的表达应当是讲求“声之美”和“色之美”等美的学问或学科。也就是说在这里,花之安要回答的其实已不仅是音乐和丹青何以要并列在一起,还包括它们并列时究竟属于何种性质的学问,即将两者合在一起的学科范畴或名义究竟是什么(这里倒不是说“音乐、丹青”作为学科或课程名称要直接翻译成“美学”,或可对译为“上艺之学”,而是说问题在于花之安喜欢从“上艺”角度来谈论美,也喜欢从审美角度来谈论“上艺”,故在他看来,“音乐、丹青”无疑都是谈美的学问,属于“美学”的内容和范围。显然,这里的“美学”是一个说明性、解释性的学科归类概念。而审美学理都是相通的,并不存在“小院”“大院”之别。花之安要求中国一般传教人员也需懂“华美之学”的学理,便是此义——作者补注)。《教化议》和《德国学校论略》两书的合印产生了新需要,即将两书所谈论的有关内容加以某种程度的统合,而这才是花之安在1897年特别添上那八个字的直接原因。换言之,他恰恰是要在这里自觉使用“美学”一词,来与《德国学校论略》中谈及的“如何入妙之法”或“课论美形”的美学课程内涵进行对接。当然,仅就标点本身来谈论这一问题,似乎还难以完全清晰明白地说明一切,借助其他相关资料,尤其是花之安在清末影响最大的著作《自西徂东》中的有关论述,可对此进一步加以佐证。
二、“华美之学”:花之安美学思想的重要过渡阶段
从1873年起,花之安就一直在寻找以艺术审美为核心的aesthetics/Ästhetik一词的准确简洁的中文翻译词。在“如何入妙之法”和“美学”之间,还经历过一个值得注意的“华美之学”阶段。这一点,花之安在《自西徂东》一书中有过集中表达。
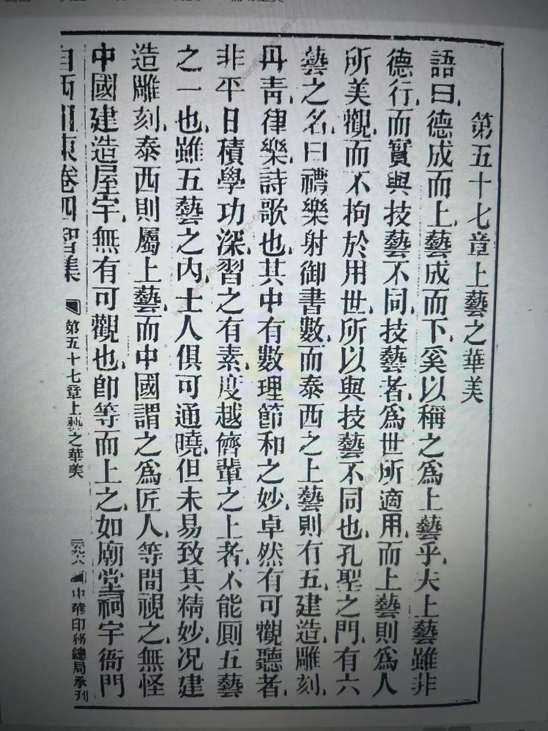
《自西徂东》的大部分内容都曾于1882—1883年在《万国公报》上连载,1884年,香港中华印务总局出版了全书,后来又多次重版。该书第四卷“智集”第57章名为“上艺之华美”,是他较为完整阐发美学问题并与此前《中国宗教科学导论》的宗教美学观点相呼应的专章。遗憾的是,二十余年来,无论是研究中国近代美学史的学者,还是研究花之安思想的学者,几乎都忽略了这一章[16]。在该章中,花之安将西方的“艺术”翻译为“上艺”,以此区别于一般所谓“技艺”,他写道:
语曰德成而上,艺成而下,奚以称之为上艺乎?夫上艺虽非德行,而实与技艺不同。技艺者为世所适用,而上艺则为人所美观,而不拘于用世,所以与技艺不同也。孔圣之门,有六艺之名,曰礼、乐、射、御、书、数,而泰西之上艺则有五:建造、雕刻、丹青、律乐、诗歌也。其中有数理节和之妙,卓然有可观听者,非平日积学功深,习之有素,度越侪辈之上者,不能厕五艺之一也。虽五艺之内,士人俱可通晓,但未易致其精妙,况建造、雕刻泰西则属上艺,而中国谓之为匠人,等闲视之,无怪中国建造屋宇,无有可观者也。[17]
花之安并不掩饰对中国传统艺术的轻视,同时大力吹嘘西方艺术的高明之处,认为“西国上艺之能精其一,皆有裨于(学)问不浅矣”[18]。另一非常突出的特点是,他特别注重从美学角度阐释西方“上艺”即“美的艺术”和“艺术之美”,并自觉将以往习惯以单字表述的“美”统一改为双音节的“华美”,纵观“上艺之华美”一章,使用“华美”一词竟达41处,可见他的自觉。
花之安从三个角度谈“华美”。其一是“美”和“真理”的关系。他强调,“夫所谓上艺者,贵表出其华美者也。西国之所谓华美者,以其内外俱臻绝诣,故谓之华美。何以言之,第一贵以华美之物,表出真理”,“凡物之有华物(美)者,首以显出真理为上”,如孔庙建有“圆桥泮水”“龟碑礼器”等,就是“欲表古人之真理”的缘故[19]。其二是“美”和“善”相连,“欲表出美德,方成华美”。他认为,“行一事、用一物,必得其至美,方为合礼,以美在其中,自然英华发外。盖善不徒在外观之有耀,而在内心之显著也。如工作之华美,其器物必有可观,后人学其华美,十分精妙,能感动人心,必有其至善之内藏也”[20]。其三,“美”和“声”“色”相关,也就是所谓“声之华美”与“色之华美”。由于其观点颇为独特且甚早,这里不妨详细引录于下:
声之华美,则入人之耳,如宫声商声,或一声或数声,或数乐器之音,迟速协奏,皆有节以制之,且有时奏乐之中,其声当轻则轻,当重则重,渐次而听之,俱能令人流连感慕,此声之华美也。色之华美,则入人之目,如青黄赤白黑,五色相宜,其中以线定形,或细嫩,或苍老,或浓淡浅深,或阴阳远近,以五色匀于别色,虽数百色之形,亦调和合宜,入目而可爱,观之能令人赏玩不置,此色之华美也。但声分乐声诗声,盖乐声可与诗声相合,亦可与诗声相分,如乐之谱以诗歌,此乐声诗声之相合也;如诗之不入乐章者,此乐声诗声之相分也。乐声诗声各有其华美也。色有三项,一项建造结构之色,一项绘画之色,一项雕镌之色。入目皆取其华美,且建造结构,有与绘画雕镌合三项为华美者,亦有各分为华美者,宜细而察之,其擅长各出智巧也。[21]
在此基础上,花之安加以总结,正式提出“华美之学”的总概念:“然则世上之物,止得形体之美,而不能表出真理,固不得华美之至妙;即但存真意,而形体不能精妙,亦不得为华美,是知技艺虽可通于华美,而技艺但取其适于世用,又与华美之学不同矣。”[22]“华美之学”拥有超脱世俗功利与刻板技术的审美特质,虽以艺术之美为主,但又不限于艺术之美。对艺术之美与自然之美及其关系,花之安清晰地论道:“且夫华美有见于天然者,有见于人工者。何以谓之天然?如日出日落,红霞散绮,千态万状,倏忽变更;又如山川花木,天然可爱,景色宜人,令人观之,爱玩不厌;又如园中各种之美花,其开时,天然华美可爱,自有一种悦心之处。然人工之华美,皆从此天然者而生,人具此性灵,观天然之景物,或分或合,自然因此而著其华美。苟无性灵学问,何以能此耶?可知凡人心性,贵乎精纯,作各项华美之物,始能臻至妙之境。倘心杂而不纯,必不能作此华美,长留于世矣。”[23]
花之安还强调,西欧各国之所以艺术发达,是因为它们格外重视艺术审美教育的缘故,“今德国民间,立数十华美会,有华美院,共相讨论,故能日致其精,而超古人之上”,英、法、意等国也多设有此等华美院,“故今日各等工艺,亦欲表出其华美,所以胜于昔日”[24]。他将审美教育的根本归结为对上帝的信仰这一“至上之理”,认定“至上之华美”只会向信奉耶稣之理的人展开,否则就会掩而不彰:“所以从耶稣道理者,欲得至上之华美,必须正心修身,备各项美德,以显出灵魂之华美,补吾身之缺乏……华美在躬,永无穷尽矣。然则人心非有至上之理,又安能有此至妙之华美,以流传于世哉?”[25]
结合上述内容和花之安相关英文著作可知,《自西徂东》一书中所谓“华美之学”,就是西方关于美的艺术的艺术(审)美学,也就是当时西方美学的主流所在,它是基于fine arts(花之安译为“上艺”)的aesthetics/Ästhetik的对译词,其核心在于“(审)美的艺术学”或“美术学”。

《自西徂东》论“上艺之华美”
对于深入了解西方美学史的人来说,花之安对“美学”的定义并不会令他们感到奇怪。西方美学创始人鲍姆加登就这样定义美学:“Aesthetica作为自由艺术的理论,低级认识论,美的思维的艺术和类理性(analogi rationis)的思维的艺术是感性认识的科学。”[26]在强调美学的感性认知特质的同时,他依然认定美学是“作为一般艺术理论的学说”,在他看来,艺术乃是美的集中体现,美学主要研究“艺术美的构成、创造、欣赏,成为艺术哲学”[27]。花之安生活的年代,正是德国古典美学占绝对主导地位的时代。在黑格尔那里,美作为“理念的感性显现”,主要就是关于艺术的,正如有学者所指出的:“黑格尔美学主要讨论的是艺术美,在他看来,美学实质上就是艺术哲学。”[28]黑格尔对以希腊雕塑为代表的西方古典艺术情有独钟,并强调艺术“要展现真理”,“要使绝对真理显现和寄托于感性现象”[29],这与前述花之安的观点十分相近[30]。可见,花之安受德国古典美学影响甚深。如此就不难理解,他为何喜欢且习惯从艺术审美的角度来谈美学,并且有时在言说和讨论中将艺术特别是“美的艺术”同美学混同起来。
19世纪末、20世纪初,日本和中国都曾将美学译为“美术(学)”,存在从大美术即“艺术审美”的角度来认知美学的现象和倾向;同时,将绘画和雕塑等视为狭义“美术”的观念也已出现且延续至今。如果说花之安所谓绘画、音乐等“皆美学,故相属”是从艺术即大美术的审美角度来使用“美学”一词,那么在一年后即1898年正式出版的《经学不厌精》一书第二卷中,当他想对音乐和绘画二者加以区别时,则又很自然地在狭义的美术学意义上使用“美学”一词:“若泰西皇后之职,虽不预闻政治,然一切善会,多推之为主……尤皆恩惠频施,毫无吝惜。推之美学(绘画等事)、声学(乐器等事)一切养性益智之道,无不踊跃为之。仁至义尽,泰西之皇后有焉。”[31]由此可见,花之安虽自觉将“美学”作为艺术审美的概念来使用,但他的用法广义与狭义相混,还没有十分稳定。花之安对西方美学的学科名称译述体现了西方艺术审美论特别是美术论的直接影响。值得注意的是,由于汉语中“学”“术”有别,花之安恐怕是不愿将aesthetics/Ästhetik直接译为“美术”的。从他坚持称艺术为“上艺”,以区别于儒家较为轻视的、一般被称为“术”的“技艺”,我们不难推知这一点。据学界现有考述,1897年之前,日译“美术”一词在中国已有零星传播,花之安如若见到,这亦有可能成为他此时特意将“华美之学”改为与“美术”二字同样简洁却又偏重学理的“美学”一词的动力之一。
另外,我们在此还可补充讨论“二者皆美学,故相属”八字的断句问题。李庆本在强调此处“美学”二字并不成词、正确的断句应是“二者皆美,学故相属”时,还特别补加了一句:“正如书中竖排两列所标示的那样。”[32]意思似乎是,编者将上述八字分两列整齐对排绝非偶然,而是编者本身所提示的正确断句。但实际上,只要仔细对读一下本节“学问之训”(《教化议》卷四第二节)的其他几处夹注小号文字就会发现,这种两列对等字数的排列处理,只不过是排版整齐的需要而已,并无断句功能。本节“学问之训”里,统共出现三处两列字数对等的夹注,并没有一处是可以在转折分列处断句的[33]。花之安这里确实是在谈论艺术(他谓之“上艺”),却是从审美或美学的角度来谈论艺术,或从艺术的角度来谈论美(他所谓“上艺之华美”或“华美之学”),若结合笔者前述内容和论析做综合判断,其夹注中特别提示的“美学”二字不仅成词,而且具有学科意义。
三、“美学”抑或“美术 ”?近代中日美学概念互动及其西方传统
接下来,我还想围绕花之安的“美学”概念翻译,再谈谈中日两国早期美学认知的互动及其共同的西方思想来源,这对我们判断花之安所使用的“美学”一词究竟是否具有美学学科含义及相关议题亦有助益。
在花之安之前,中文里似乎还未见有人这样用过“美学”一词。以英华或华英辞典而论,此前也未列此词。最早列有aesthetics一词的,是英国来华传教士罗存德1866年所编的《英华字典》(第一册),该词典将此词译为“佳美之理”和“审美之理”,释文里还夹录了一句未经翻译的英文philosophy of taste(趣味哲学),beautiful在该词典里则被译为“美妙”。由广东人谭达轩1875年编辑出版、1884年再版的《英汉辞典》里,aesthetics被译为“审辨美恶之法”[34]。邝其照1868年在香港首版、1875年再版的华人最早编辑的《字典集成》中未收aesthetics一词,但译beautiful为“美丽、好看、华美”[35]。花之安《自西徂东》中大量刻意地使用“华美”一词,很可能与他看到中国人以“华美”对译beautiful、觉得较为雅致有关。
罗存德的《英华字典》曾迅速传到日本,被多次翻刻,影响极大,明治初期的日译西书,鲜有不加参考者[36]。但对这种工具书,一般引用者不会特别加以说明,似乎也无须注明。当时,“某某之理”和“某某之学”往往相通,转化起来相对容易,故由罗存德词典的“佳美之理”和“审美之理”转化成“佳美之学”和“审美之学”,进而改造成“佳美学”和“审美学”,皆非难事,真正的难点恰在于“审美”一词的创出。古典汉语里未曾有过“审美”这样的构词,成词有相当难度,体现了西方传教士在中西词汇对译过程中的创造性。后来,翻刻修订罗存德《英华字典》的日文本,如1879年津田仙等所编《英华和译字典》、1884年井上哲次郎所编《订增英华字典》中,有关aesthetics的词条,都依然完全采用罗存德的解释——“佳美之理”或“审美之理”——而没有调整为“美妙学”或“审美学”[37]。这一则表明在当时的日本学界,关于aesthetics尚未形成某种绝对权威的译法;二则在辞典编者看来,“佳美之理”“审美之理”实同“美妙学”“审美学”等含义相近,并无急迫调整和改换之必要[38]。
在日本,最早传播西方美学的是有“日本近代哲学之父”之称的西周。1870年,他在《百学连环》中谈到西方美学时,将其译作“佳趣论”,并称其在西方“古昔称之Science of Beauty(卓美之学)”[39]。1872年,他著成日本最早的美学讲义《美妙学说》(一说完成于1877或1878年,正式出版则更晚),又改“佳趣论”为“美妙学”。1874年,他正式出版庆应年间(1865—1868)就已完成的《百一新论》,其中美学被译成“美善学”,可见他对aesthetics的翻译一开始时并不固定[40]。西周较早接触的是美国心理学家约瑟夫·海文(Joseph Haven,西周译为“奚般”)等人的美学认知,他翻译的海文著作《心理学》前三卷曾由文部省于1876—1877年出版,此后两年,文部省的明治书房又翻刻了他所翻译的该书的全译本。1878年推出的该书上卷“论智”部分,就包含了专门讨论“美学”概念及其认知的丰富内容,书中“美妙”一词随处可见,使用相当自觉,如同花之安《自西徂东》中对“华美”一词的使用;aesthetics也被西周较为固定地译为“美妙学”,偶尔亦作“美妙论”或“美妙之学”[41]。1881年,井上哲次郎所编的著名哲学词典《哲学字汇》,就采用了“美妙学”这一术语,从而使该词在日本传播的范围变得更为广泛[42]。
在最初对译西方aesthetics一词的过程中,西周结合他对东方审美文化的了解,同时参阅罗存德《英华字典》中将beautiful译为“美妙”、aesthetics译为“佳美之理”的译法,以及罗存德引录未译的“趣味哲学”之英文原文,综合创译出“佳趣论”和“美妙学”两词,实不可谓不自然。而在见到花之安《德国学校论略》中的“如何入妙之法”这一翻译之后,其“美妙学”或“美妙论”的对译因获致某种印证,得以更有信心地坚持下来,亦绝非没有可能。相比西周的“参阅”,1872年,日本学者小幡甚三郎翻译出版《西洋学校轨范》,较早借用罗存德创译的“审美”词符,以此为基础构造“审美学”一词来对译aesthetics,倒显得更为直接[43]。上述观点,由笔者在诸多已有研究的基础上总结整理而成,并非某一人独创之见,是否真确无误,尚待有关藏书、文本的发现和更为细致深入的对勘研究来证实。
不过,即便西周对“美妙学”的翻译和坚持均未受到过花之安的影响,对比这两种早期译法,也不无学术认知意义。“妙”无疑是一种体现中国审美习惯和精神的美学范畴,看到“美妙”二字,很容易联想到《道德经》中那句“玄之又玄,众妙之门”[44],并由此体味其对于中国古代审美感受的特殊价值。在这点上,中日传统审美文化实有相通之处,它至少表明,早期中日译者在回应西方美学的时候,往往会有意无意地凸显“妙”这一东方传统审美范畴的内涵与特点。
现在看来,作为现代学科称谓的“美学”这一二字汉字词,有可能更早出现于同样使用汉字的日本。在花之安之前,日本洋学家兼汉学家中江兆民(笃介)受文部省委托,于1883—1884年翻译出版法国人欧仁·维隆所著《维氏美学》一书,已开始较为正式地使用“美学”术语[45],这与花之安自觉使用“华美之学”几乎同时。不过当时和此后十余年间,“美学”一词在日本仍不如“审美学”和“美妙学”影响大,它真正流行开来还是19世纪末、20世纪初的事。不仅如此,美学这门新学问还长期与“美术(学)”或“美的艺术学”相混杂,难以清晰地划分界限,甚至直接被译成“美术”“美术学”。如1888年岛田丰纂译的《(附音插图)和译英字汇》再版本,就在译aesthetics为“美妙学”“审美学”的同时,将其形容词形式由首版的“美妙学的”/“审美学的”改译为“美术学的”/“审美学的”。1891年,该辞典的第6版依然保持了1888年再版本的这种译法[46]。1908年,颜惠庆所编、商务印书馆出版的《英华大辞典》,也将aesthetics译为“美学”和“美术”[47]。1916年,中国海关洋员赫美玲在《官话英汉词典及翻译手册》中,仍译aesthetics为“艳丽学”或“美术学”[48]。凡此,已足可说明这一问题的复杂性。
实际上早在西周那里,美术原理就与“美妙学”相混杂了。《美妙学说》被认为是日本首部美学著作,它一开篇就表示,“哲学之一种称为美妙学,与美术相通,穷美术之原理”;另一处又写道,“西洋现今美术中有画学、雕像术、雕刻术、工匠术,另外诗歌、散文、音乐、书法也属此类,皆适用于美妙学原理”[49]。西周很可能是汉字词“美术”的发明者,但《美妙学说》很晚才正式出版。一般认为,1872年,日本参加维也纳万国博览会之际发行的出品邀请书中关于“出品规定”里,最早公开使用了“美术”一词[50]。较早创译“美学”语词的《维氏美学》一书,其上册除第六章《美学是什么》等少数章节专谈美学定义及研究对象等内容外,其余章节大多关于艺术审美,下册干脆全是艺术专论。所以有学者感慨:“维龙的‘Esthétique’这本书的内容集中讨论的,总体上不过是一本艺术理论或者艺术哲学。”[51]可见,即便是更早创译汉字“美学”一词的《维氏美学》日译本,也未能摆脱从艺术角度来讨论美学的西方艺术论或美术论之总体格局。
在强化“艺术”或“美术”对于美学的根本意义,甚至将美术论与美学相提并论方面,最早(1878)到东京大学讲授西方美学的菲诺洛萨曾产生过重要影响。1882年,他在东京发表演讲“美术真说”,强调art不只是“技术”,也是“美术”,不能一味照搬西方技艺而忽略东西方古典美术的精髓。冈仓天心与他志同道合,热心鼓吹相同论调,致力于阐发日本传统美术的美学趣味与精神。日本美学史家神林恒道曾指出:“我们发现菲诺洛萨的‘美学’不过就是从《美术真说》出发的美术论,只不过加上了他个人的艺术观……菲诺洛萨关注的是罗斯金的艺术论,他说的美学只是罗斯金艺术论的介绍。”[52]此言得之。在这方面,冈仓天心实与菲诺洛萨相似。不知他们二人是否读过花之安前述有关中国宗教的西文论著,但可以肯定的是,他们都与花之安一样,同属黑格尔古典美学的推崇者,且均服膺于罗斯金的艺术论。
没有证据表明,花之安1897年在艺术审美或美术论的意义上使用“美学”译词是直接借用日本用法。康有为编《日本书目志》一书照搬日本“美学”一词,在1898年才正式问世。花之安率先在中国使用“美学”这一词汇,不仅具有西方将艺术审美、美术学混同为美学的持久思想基础——用一位当代中国美学研究者的话来说,“艺术是人类审美活动的典范形式,只要是从审美角度看艺术,都可以算是美学”[53]——更具有从“入妙之法”到“华美之学”的长期概念酝酿和翻译实践,还有他本人反感在汉语中降“学”为“术”的特殊关切。因此,他最终能在中国创用“美学”一词,是自然、可理解且符合逻辑的。
有鉴于此,笔者以为,不仅称花之安为西方“美学”概念在中国最早的自觉传播者是允当的,称其为现代意义的“美学”一词在中国最早的创用者,也是经得起检验的。声言1897年花之安所使用的“美学”即便成词,也同近现代意义上的“美学”概念“毫不相干”的说法,实令人难以理解。
概念和语词紧密相关,但两者并非完全一回事,当某一种文化中的抽象概念被传译到另一文化中时,在形成稳定的权威术语之前,往往会出现许多相近的对译词。由于很难有百分之百的对等,翻译往往是一种遗憾的艺术。当“美学”成为aesthetics/Ästhetik的权威译语并构成这门学科的标志性概念符号后,就字面含义而论,我们会觉得“美妙学”多出一点“妙”蕴,“华美学”则无形中减缩和限制了美的类型,但该词原本带有的感性和审美内涵,又在“美学”中成为某种“多余”的限定。这些无疑都是跨语言文化转换过程中的问题。而“美术学”这一aesthetics曾经的对译词在日本和中国的出现,则直接因缘于欧美学术文化的内部关联因素,造端于西方美学与艺术理论本就存在的、难解难分的历史传统。
最后,我还想强调一点,指出王国维之前西方美学概念和知识在华有过值得一提的传播这一事实,并不意味着否定王国维在中国近代美学史上的开拓者地位。恰恰相反,正视它们并给予适当阐释,实属准确说明王国维之地位所必须。在《“美学”传播》一文开篇,我就表明了对王国维作为中国近代美学开拓者地位的认同,这一点至今未变。随着阅读的增加,我越来越认识到,中、西、日因素的互动是理解王国维美学贡献的关键。以“境界”为例,无论如何评价这一王国维美学核心范畴与西学、佛教资源和传统诗学的关系,都不能否认日本这一因素起到的独特作用[54],而作用于王国维这一美学认知主体的日本因素,也并不限于学者经常提到的田冈岭云,恐怕还有王国维展开翻译工作之前或之时,曾参照的那些涉及德国认识论美学和心理美学的日译心理学、伦理学及教育学论著。最近,笔者集中查阅西周的译著(如《心理学》等),发现汉字词“境界”在明治时期译述的心理学、伦理学论著里,已不时能够见到,它们与王国维的“境界”说有何关系,值得深入研究。不过,这已不是本文所关切的主要问题。
注释
[1] 参见黄兴涛:《清代西方美学观念和知识在华传播考论》,《“西学与清代文化”国际学术讨论会论文集》,2006年8月;《明末清初传教士对西方美学观念的早期传播》,《文史知识》2008年第2期。
[2][13][32] 李庆本:《“美学”译名考》,《文学评论》2022年第6期。
[3] 花之安:《(大)德国学校论略》,清同治十二年(1873)羊城小书会真宝堂刻本,第17、20页。该版本封面和内里名称不一,封面题“大德国学校论略”,内里正文又称“德国学校论略”,书眉上另书“西国学校”。
[4] Ernst Faber, Introduction to the Science of Chinese Religion: A Critique of Max Mueller and Other Authors, Hong Kong: Lane, Crawford & Co.; Shanghai: Kelly & Walsh Ltd., Presbyterian Mission Press, 1879, pp. 89-92. 据笔者统计,此章中至少引用罗斯金12次,其他各章亦有不少引用。
[5][6][7] Ernst Faber, Introduction to the Science of Chinese Religion: A Critique of Max Mueller and Other Authors, pp. 97-98, pp. 97-100, 95, p. 101.
[8] 大德国花之安撰,东莞王炳堃笔:《教化议》卷四,清同治十四年礼贤会刻本,第47页。
[9][14][15] 花之安:《泰西学校·教化议合刻》,商务印书馆1897年版,第22页,第22页,第25页。
[10][40] 参见聂长顺:《近代Aesthetics一词的汉译历程》,《武汉大学学报》2009年第6期。
[11][43] 参见冯天瑜等:《近代汉字术语的生成演变与中西日文化互动研究》,经济科学出版社2016年版,第223页,第220页。
[12][51] 王确:《汉字的力量——作为学科命名的“美学”概念的跨际旅行》,《文学评论》2020年第4期。
[16] 根据笔者所见,只有桑兵、关晓红主编《解释一词即作一部文化史》(上海人民出版社2021年版)一书第五章《晚清“美术”概念的输入及衍化》关于“美术”概念的考辨,对花之安此章有简单提及。
[17][18][19][20][21][22][23][24][25] 花之安:《自西徂东》卷四《智集》,《近代中国史料丛刊三编》第80辑,(台湾)文海出版社1996年版,第298页,第300页,第300—301页,第301页,第301—302页,第302页,第302页,第303页,第303页。
[26] 鲍姆嘉滕(鲍姆加登):《美学》,简明、王旭晓译,文化艺术出版社1987年版,第13页。
[27][29] 章启群:《新编西方美学史》,商务印书馆2004年版,第315、320页,第467—468、480—481页。
[28] 章启群:《新编西方美学史》,第455页。不仅在德国,英国当时的美学也同样十分重视“美的艺术”和艺术审美。鲍桑葵就在1892年出版的《美学史》一书的开篇提出“美学史”和“美的艺术史”(history of fine arts)之间的微妙关系,并特别说明“美学理论为什么有必要把美的艺术当成美的主要代表”(鲍桑葵:《美学史》,张今译,广西师范大学出版社2001年版,第1、7页)。
[30] 花之安也曾大谈希腊古雕塑之美(花之安:《自西徂东》卷四《智集》,《近代中国史料丛刊三编》第80辑,第299、303页;Ernst Faber, Introduction to the Science of Chinese Religion: A Critique of Max Mueller and Other Authors, pp. 91-92, 94-95)。
[31] 参见花之安:《经学不厌精》卷二《人(上)》,美华书馆1898年版,第58页。此书第一卷出版于1896年,第二卷出版于1898年。第一卷出版时,作者声称五卷已完成,将逐一出版。笔者在2000年发表《“美学”传播》一文时尚未发现该材料,后来发现了,却一直没有机会披露。
[33] 花之安:《泰西学校·教化议合刻》,第21—22页。笔者核对了合刻本中的《教化议》部分,发现共有34处这样两列夹注形式的小号注解文字,似乎只有1处是可明确在两列转折处断句的。
[34] 参见黄兴涛:《“美学”一词及西方美学在中国的最早传播——近代中国新名词源流漫考之三》,《文史知识》2000年第1期;Wilhelm Lobscheid, English and Chinese Dictionary with the Punti and Mandarin Pronunciation, Hongkong: The Daily Press Office, 1866, pp. 32, 154。明确提到罗存德译beautiful为“美妙”且有可能影响西周的,是李庆本(《“美学”译名考》)。
[35] Kwong Ki Chiu, English and Chinese Dictionary, Hong Kong, 1875, p. 29.
[36] 沈国威研究指出:“罗存德字典出版当时正值日本处于学术转型期,兰学家转向英语,需要学习英语的工具书,罗存德接受了大量来自日本的订单……《英华字典》衍生了多种英和辞典……对日本近代英语学习史,日语词汇史的影响巨大。”(沈国威:《近代英华辞典环流——从罗存德、井上哲次郎到商务印书馆》,《关西大学东西学术研究所纪要》第47辑,2014年4月)
[37] 津田仙ほか訳『英華和譯字典』(山内輹,1879年)49頁;罗布存德(罗存德)原著,井上哲次郎訂增『訂增英華字典』(東京藤本氏藏版,1884年)21頁。
[38] 有学者强调,井上哲次郎1884年出版的《订增英华字典》对当时已有较多使用的日译新名词实多未加吸收,故对他自己所编《哲学字汇》中的“美妙学”译词未加采纳,亦并不奇怪(参见《近代英华辞典环流——从罗存德、井上哲次郎到商务印书馆》)。
[39] 大久保利谦編『西周全集』巻一(宗高書房,1981年)168,169頁。
[41] 奚般氏著,西周訳『心理学 上下/合冊』(文部省印行,1878—1879年)。
[42] 井上哲次郎ほか編『哲學字彙:附清國音符』(東京大學三學部,1881年)3頁。
[44] 王弼注,楼宇烈校释:《老子道德经注》,中华书局2011年版,第2页。
[45] ユージェーンヌ・ウェロン著,中江篤介訳『維氏美学』(文部省編輯局,1883年)。
[46] 島田豐纂譯,曲直瀬愛校訂『和譯英字彙:附音插図』(大倉書店,1888年)16頁。感谢聂长顺教授帮助查考该辞典的多种版本。
[47] 参见颜惠庆主编:《英华大辞典》,商务印书馆1908年版。
[48] K. E. G. Hemeling, English⁃Chinese Dictionary of the Standard Chinese Spoken Language and Handbook for Translators, Including Scientific, Technical, Modern and Documentary Terms, Shanghai: The Presbyterian Mission Press, 1916, p. 27.
[49] 大久保利谦編『西周全集』巻一,477,480頁。另外还可参见神林恒道:《“美学”事始:近代日本“美学”的诞生》,杨冰译,武汉大学出版社2011年版,第42—44页。
[50] 该“出品规定”有言:“为美术(西方把音乐、画学、造像术、诗学统称为美术)博览场之工作而用。”(转引自《“美学”事始:近代日本“美学”的诞生》,第44页)
[52] 神林恒道:《“美学”事始:近代日本“美学”的诞生》,第7—11、32—37、38—39页。亦可参见郑子路《幽玄的美学:东亚的艺术精神与审美思想》[『幽玄の美学:東アジアの芸術精神と美的思想』(日本美学出版社,2021年)]一书中的相关内容。感谢郑子路先生赠阅未刊稿《何谓美学——近代日本“美学”译名流变中的思想演进》。
[53] 陈望衡:《序》,神林恒道:《“美学”事始:近代日本“美学”的诞生》,第2页。1897年12月,花之安出版英文著作《在中国传播基督教之难题》,仍然强调在教会服务工作中恰当利用艺术带来“审美享受和满足大众趣味”的必要性,并自觉使用aesthetic enjoyment和aesthetic feeling等词(Ernst Faber, Problems of Practical Christianity in China, Shanghai: Office of the Celestial Empire and the Shanghai Mercury; London: J. Tamblyn, 1897, pp. 10-11)。
[54] 参见罗钢:《传统的幻象:跨文化语境中的王国维诗学》,人民文学出版社2017年版。关于王国维“境界”说与西学的关系,参见梁展:《王国维“境界”的西学来源》,《中华读书报》2011年1月28日。